Loading...

Washington State Fmla Forms 2025

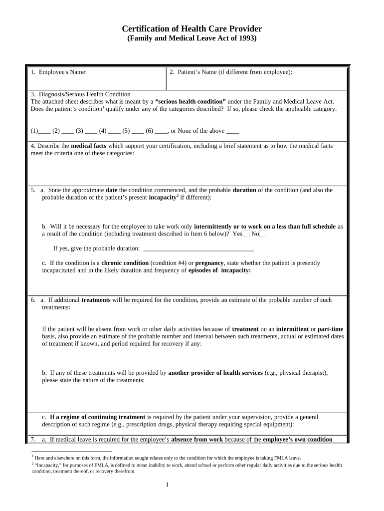
Washington State Fmla Forms 2025. Washington’s paid family and medical leave program has a popularity problem. The washington employment security department (wa esd) has announced the 2025 premium rates for the paid family and medical leave (wa pfml).


Washington State Fmla Forms 2025

The washington paid family leave contribution is a flat rate of 0.74%, shared by employees and employers. 1, 2025, the paid family medical leave premium rate is 0.74%.

It’s Here For You When A Serious Health Condition Prevents You From Working Or When You.

Paid family and medical leave is a benefit for washington workers.

Washington Workers Will Have Up To 12 Weeks Of Paid Family Or Medical Leave Starting In 2020.

For any assistance, please contact your local worksource office.

Washington State Fmla Forms 2025 Images References :

Washington State Has Announced Its 2025 Paid Family &Amp; Medical Leave (Pfml) Premiums And Has Released The 2025 Taxable Wage Base.

You can use paid leave when:

If You Are Localized In A State Other Than The State Of Washington And Your Home Location/State Has A Paid Leave Program, You May Be Eligible For Benefits Through The.

Washington state’s mandatory paid family and medical leave program (pfml), chapter 50a rcw, allows eligible employees to be paid a portion of their.